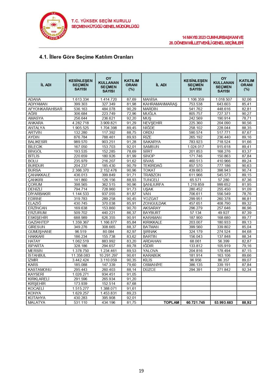
YSK seçim istatistiklerini açıkladı
Yüksek Seçim Kurulu (YSK), 14 Mayıs seçimlerine ilişkin istatistiklerini açıkladı.14 Mayıs 2023 Cumhurbaşkanı 1. oylama seçimi sonuçlarını ve bu seçime ilişkin istatistikleri içeren bültende, tablo ve grafiklerde verilen sayılarda...
Yayınlanma:
Yüksek Seçim Kurulu (YSK), 14 Mayıs seçimlerine ilişkin istatistiklerini açıkladı.
14 Mayıs 2023 Cumhurbaşkanı 1. oylama seçimi sonuçlarını ve bu seçime ilişkin istatistikleri içeren bültende, tablo ve grafiklerde verilen sayılarda yakın yuvarlama yapıldığı ifade edildi.
Yurt içi, yurt dışı ve gümrük kapıları sandıkları dahil seçim sonucuna göre; Kemal Kılıçdaroğlu yüzde 44,88; Recep Tayyip Erdoğan yüzde 49,52; Sinan Oğan yüzde 5,17 oranında oy aldı.
YSK'nın açıkladığı istatistiklerini şu şekilde:



















Öne Çıkanlar